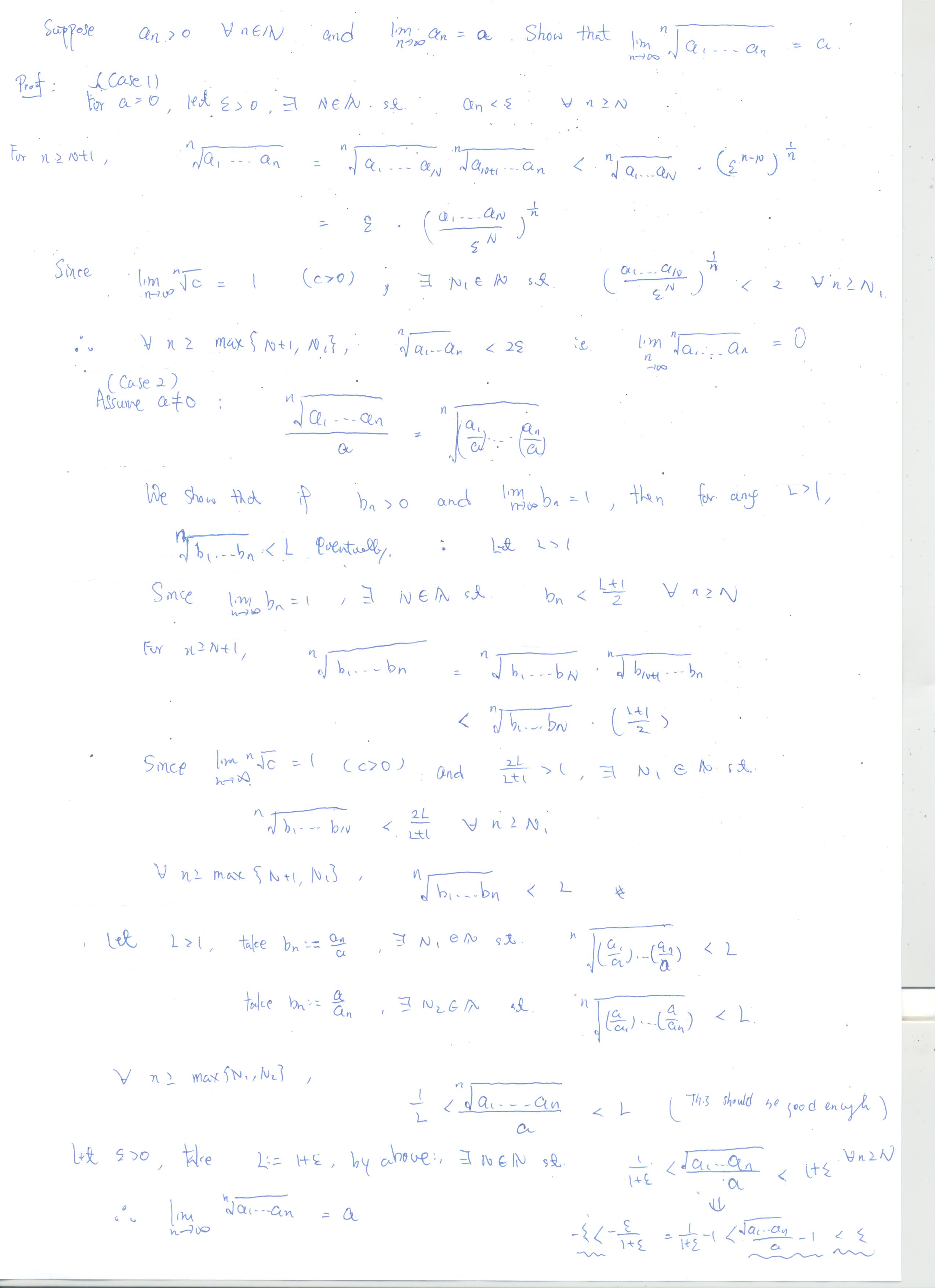
MATH2050A - Mathematical Analysis I - 2016/17